Аконитин
Справочник по веществам / Аконитин

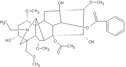
Синонимы: ацетилбензоилаконин
Внешний вид: ромбические кристаллы (растворитель перекристаллизации - хлороформ)
Брутто-формула (система Хилла): C34H47NO11
Молекулярная масса (в а.е.м.): 645,74
Температура плавления (в °C): 202
Растворимость (в г/100 г или характеристика):
ацетон: растворим
бензол: 14,3 (25°C)
вода: 0,31 (25°C)
диэтиловый эфир: 2,27 (25°C)
хлороформ: растворим 25 (20°C)
этанол: 4,54 (25°C)
Природные и антропогенные источники:
[Аконит] Содержится в различных видах аконита (на рисунке, например, в Аконите джунгарском (Aconitum soongaricum stapf.), синем борце (Aconitum napellus L.) и др., семейство Лютиковые). Аконитин в основном содержится в клубнекорнях и семенах, но также есть и в других частях растения.
Показатель диссоциации:
pKBH+ (1) = 8,11 (25 C, вода)
Удельное вращение для D-линии натрия:
19 (хлороформ; 20°C)
Летальная доза (ЛД50, в мг/кг):
0,035 (собаки, внутривенно)
0,04 (человек, перорально)
Симптомы острого отравления:
Отравления чаще всего наступают после употребления частей растения аконит в пищу (особенно токсичны клубни и семена). Вскоре после употребления аконита появляются ощущения покалывания и жжения в полости рта и глотке, обильное слюнотечение, тошнота, рвота, понос, распространенные парестезии. Могут быть головокружение, сильная головная боль, слабость, состояние оглушенности. В тяжелых случаях отмечается выраженная мышечная слабость, одышка, неправильный, вначале замедленный, а затем учащенный пульс, затемнение сознания, отек легких, тремор, судороги. Смерть наступает от паралича дыхательного центра.
Лечение отравлений:
Промыть желудок, лучше раствором перманганата калия (1:1000), можно 0,2% раствором танина со взвесью активированного угля. Дальнейшее лечение симптоматическое. Для устранения выраженной брадикардии вводят атропин. В случае пароксизмальной тахикардии применяют глюконат кальция, сульфат магния, новокаинамид, коргликон. При необходимости назначают кислород. Показано внутривенное введение новокаина (20-50 мл 2% раствора) и глюкозы (500 мл 5% раствора капельно). При судорогах и расстройствах дыхания применяют барбамил (10 мл 10% раствора внутривенно) или дитилин (2 мл 2% раствора внутривенно), аппаратное искусственное дыхание.
Информация о химии
Методические основы формирования химического языка в развивающем обучении химии
Состояние преподавания и знаний учащихся при использовании традиционной методики формирования химического языка убеждает в необходимости и совершенствования с учетом современных задач обучения. Весьма важно повысить с ...
Планк (Planck), Макс Карл Эрнст Людвиг
Немецкий физик Макс Карл Эрнст Людвиг Планк родился в г. Киле (принадлежавшем тогда Пруссии), в семье профессора гражданского права Иоганна Юлиуса Вильгельма фон Планка, профессора гражданского права, и Эммы (в девичестве Патциг) ...
Дебай (Debye), Петер Джозеф Уильям
Нидерландско-американский физик Петер Джозеф Уильям Дебай (Петрус Йозефус Вильгельмус Дебьо) родился в г. Маастрихте в Нидерландах в семье Марии Дебьо (в девичестве Рюмкенс) и Вильгельмуса Йоганнеса Дебьо, контролера фирмы по прои ...
